Headlines
FULL LIST: FG declares 90 wanted for COVID-19 quarantine violation

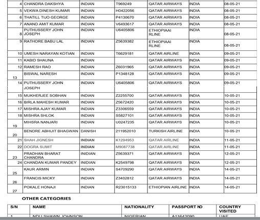
Below is the full list of 90 persons declared wanted by the Federal Government through the Presidential Steering Committee (PSC) on COVID-19 for violating the quarantine regulation as prescribed by the PSC.
Facebook Comments





